반응형
1. 마이크로스트립(Microstrip)
1.1 개념
- 마이크로스트립은 PCB 표면(Surface Layer)에 위치한 신호선으로, **하단에 GND Plane(접지층)**이 있는 구조야.
- PCB 상단 또는 하단의 신호층에서 배선되고, 그 아래 GND Plane이 위치하여 신호가 전파됨.
- 보통 **고속 신호(High-Speed Signal)**를 설계할 때 많이 사용돼.
1.2 구조
📌 마이크로스트립은 다음과 같은 구조를 가짐:
+------------------+ <- 공기(Air)
| Signal Trace | <- 신호선(패턴)
+------------------+
| Dielectric (FR4) | <- PCB 유전체(절연체)
+------------------+
| Ground Plane | <- 접지(GND) 평면 +------------------+
- 신호선 위에는 공기(Air), 아래에는 유전체(Dielectric, PCB 재질)가 존재함.
- 신호는 주로 공기와 PCB 유전체를 따라 전파됨.
1.3 마이크로스트립의 특징
✅ 장점
- 제작이 간단하고 저렴함.
- 비교적 낮은 신호 감쇠(Low Attenuation).
- PCB의 표면에서 신호가 흐르므로 접근성이 좋음.
❌ 단점
- EMI(전자기 간섭) 발생 가능성이 높음.
- 기판 외부에 노출되어 있어 외부 간섭을 받을 수 있음.
- 임피던스가 PCB 유전체(Dk)와 두께에 따라 영향을 받음.
2. 스트립라인(Stripline)
2.1 개념
- 스트립라인은 PCB 내부(Inner Layer)에 위치한 신호선으로, 위아래에 GND Plane이 있는 구조야.
- 신호가 내부층에 위치하면서 완전한 유전체 속에서 전파되므로, EMI 방출이 적고 신호 품질이 우수해.
2.2 구조
📌 스트립라인의 구조는 다음과 같아:
+------------------+ <- Ground Plane (GND)
| Dielectric (FR4) | <- PCB 유전체
+------------------+
| Signal Trace | <- 신호선(패턴)
+------------------+
| Dielectric (FR4) | <- PCB 유전체
+------------------+
| Ground Plane | <- Ground Plane (GND)
+------------------+
- 신호선이 완전히 유전체(PCB 재질)로 둘러싸여 있음.
- 신호는 균일한 유전체를 통해 전파됨.
2.3 스트립라인의 특징
✅ 장점
- 외부 EMI 간섭이 적고, 신호 무결성(Signal Integrity)이 좋음.
- 두 개의 GND Plane 사이에서 차폐 효과(Shielding Effect)가 있음.
- 일정한 유전체 환경 덕분에 신호 전파 속도가 안정적임.
❌ 단점
- 제작이 복잡하고 비용이 높음.
- PCB 내부에서 배선해야 하므로 디버깅이 어려움.
- 같은 PCB 두께에서 마이크로스트립보다 높은 신호 감쇠(Attenuation)를 가질 수 있음.
3. 마이크로스트립과 스트립라인 비교
항목마이크로스트립 (Microstrip)스트립라인 (Stripline)
| 신호 위치 | PCB 표면 (외부층) | PCB 내부 (내부층) |
| GND Plane | 아래에 1개 | 위아래 2개 |
| EMI 방출 | EMI 방출 많음 | EMI 방출 적음 (차폐됨) |
| 설계 난이도 | 쉬움 (외부층) | 어려움 (내부층) |
| 신호 감쇠 | 낮음 | 상대적으로 높음 |
| 제작 비용 | 낮음 | 높음 |
4. 언제 마이크로스트립과 스트립라인을 사용할까?
✅ 마이크로스트립 사용 시점
- 고속 신호(PCIe, HDMI, USB, Ethernet 등)를 배선할 때.
- EMI 문제가 크지 않으며, 간단한 설계가 필요한 경우.
- PCB 비용을 낮추고 싶을 때.
✅ 스트립라인 사용 시점
- EMI 방출을 최소화해야 할 때.
- 민감한 신호(고주파 RF, 고속 신호)를 보호해야 할 때.
- PCB에서 신호 무결성이 중요한 경우.
5. 임피던스 계산 공식
PCB 설계에서 마이크로스트립과 스트립라인의 **특성 임피던스(Z0)**를 계산할 때는 각각 다른 수식을 사용해.
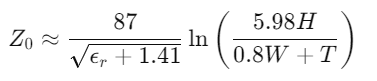
5.1 마이크로스트립 임피던스 공식 (FR4 기준)

- W: 신호선 폭 (Trace Width)
- H: GND Plane과 신호선 간의 거리 (Height)
- T: 신호선 두께 (Thickness)
- ϵr\epsilon_r: PCB 유전체의 유전율 (FR4의 경우 ≈ 4.3)
5.2 스트립라인 임피던스 공식

- 같은 W,H,TW, H, T 값에서도 스트립라인의 임피던스가 마이크로스트립보다 낮아짐.
6. 결론
- **마이크로스트립(Microstrip)**은 PCB 표면에서 배선되며, 단순하고 비용이 저렴하지만 EMI 문제가 있을 수 있음.
- **스트립라인(Stripline)**은 PCB 내부에 배선되며, EMI 방출이 적고 신호 품질이 우수하지만 제작이 어렵고 비용이 높음.
- 설계 목적에 따라 두 기법을 적절히 선택해야 함.
- 고속 신호(>1GHz)에서는 스트립라인이 더 적합하지만, PCB 비용 절감 및 디버깅 용이성을 고려하면 마이크로스트립을 활용하는 경우가 많음.
반응형
'IT' 카테고리의 다른 글
| SoC 클럭 기술 (0) | 2025.02.13 |
|---|---|
| Clocking Techniques and Clocked Storage Elements for System on a Chip (0) | 2025.02.13 |
| 고속 PCB 설계를 결정하는 방법 (0) | 2025.01.30 |
| Accelerating High-Level SysML and SystemC SoC Designs (1) | 2025.01.07 |
| ZQ Calibration (2) | 2024.12.12 |
